更新时间:2022-03-10
浏览次数:1913
致远PA系列功分-满足:GB_T 34133储能变流器间谐波检测标准
储能变流器和光伏逆变器最大的区别就是:储能逆变器是双向的,可以实现储能电池与交流电网之间双向能量转换。光伏逆变器则是单向,把光伏板直流电转成符合电网要求的交流电,因此二者在检测标准上也有一定区别。
GB/T 34133储能变流器检测标准中规定了储能变流器的各方面检测内容,其与光伏逆变器检测内容大部分相同,但在电能质量检测环节,谐波与间谐波检测有了更高要求。
GB/T 34133电流谐波与间谐波测试要求如下:


问题:该标准同时要求谐波与间谐波检测在10min内数据统计运算,人工测试很难快速得到结果,怎么办?
解决办法:ZLG致远电子针对该测试需求,在PA功率分析仪的基础之上开发了针对GB/T 34133-2017的测试插件,可对谐波、间谐波进行一键测试,直接生成报表。
PA功率分析仪可配备7通道功率卡槽,凭借0.01%精度可对被测设备所有电参数准确把握,不仅能满足光伏逆变器、风力变流器的gao精度功率、谐波、效率测试,还能满足光伏行业1500V高压直流测试。配合定制的行业测试插件,可快速完成各类测试。


GB/T34133专用测试插件
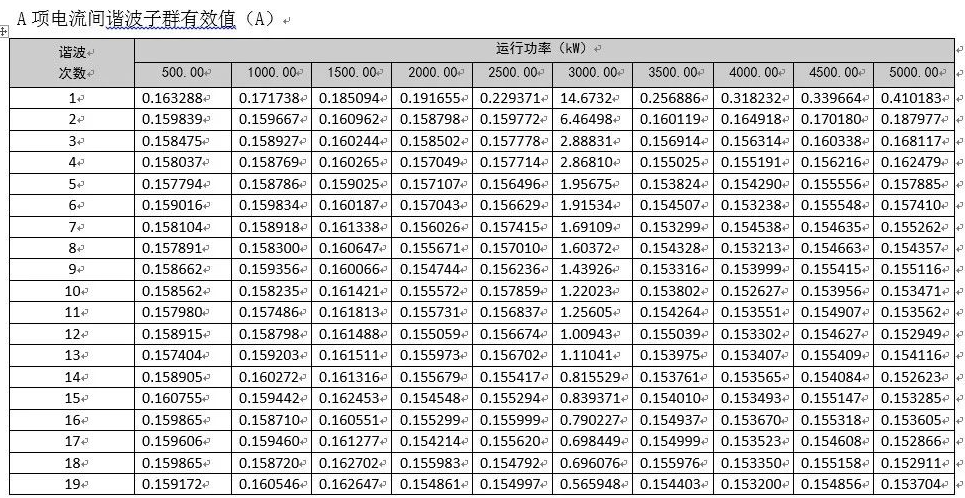
测试报表如下:
电流谐波记录报表

电流间谐波记录报表
金合博源,为您提供“致远-PA系列功率分析仪"产品选型及试用服务!!!
JHBYTEK,您身边的测控专家!!!